Предмет: Математика,
автор: dima4689
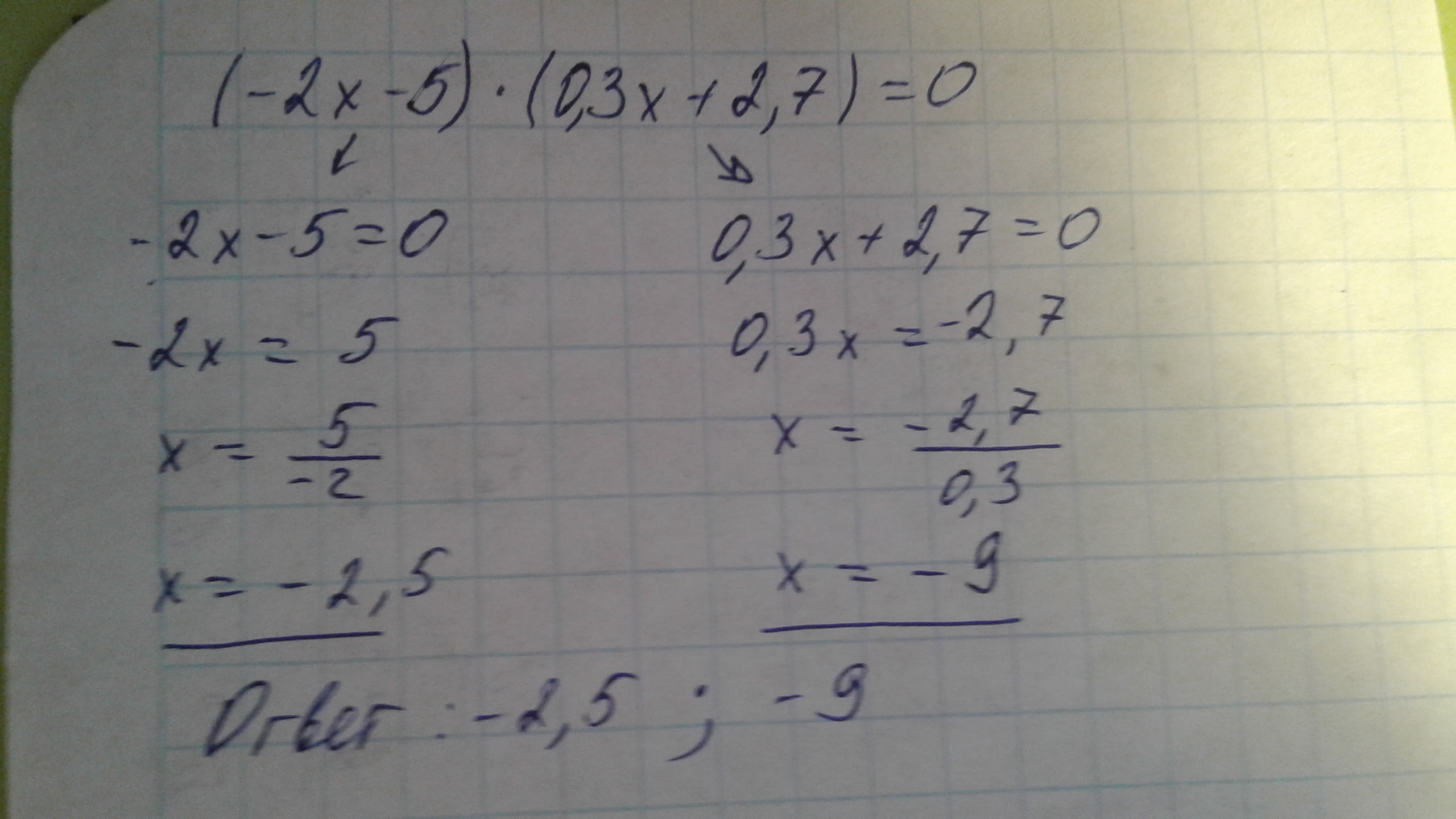
решите уравнение (-2х-5)*(0.3х+2.7)=0 --------- решете полностью
Ответы
Автор ответа:
0
Полное решение уравнения во вложении
Приложения:
Похожие вопросы
Предмет: Русский язык,
автор: fatimadzukaeva87
Предмет: Українська література,
автор: shevchenkos1009
Предмет: Информатика,
автор: atosi00
Предмет: Математика,
автор: DanilaSoliano