Предмет: Алгебра,
автор: Аноним
Решите уравнение методом подстановки, или сложения
Приложения:
Ответы
Автор ответа:
0
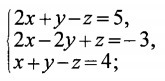
{2х+у–z=5
{2x–2y+z=–3
{x+y–z=4
{z=2x+y–5
{2x–2y+2x+y–5=–3
{x+y–2x–y+5=4
{–y=2
{–x=–1
{y=–2
{x=1
{z=2•1–2–5=–5
Ответ: (1;–2;–5)
{2x–2y+z=–3
{x+y–z=4
{z=2x+y–5
{2x–2y+2x+y–5=–3
{x+y–2x–y+5=4
{–y=2
{–x=–1
{y=–2
{x=1
{z=2•1–2–5=–5
Ответ: (1;–2;–5)
Автор ответа:
0
Да, все верно. Правильно так: x = 1, y = 2, z = -1
Похожие вопросы
Предмет: Русский язык,
автор: hmelenkolilia2
Предмет: Русский язык,
автор: Sinamsuleimanova
Предмет: Химия,
автор: lajsanagafiatova
Предмет: Математика,
автор: Аноним
Предмет: Математика,
автор: bahumesedom