Предмет: Математика, автор: умник1336

Вычислить пример дроби

Приложения:

Ответы

Автор ответа: Irina17000
0
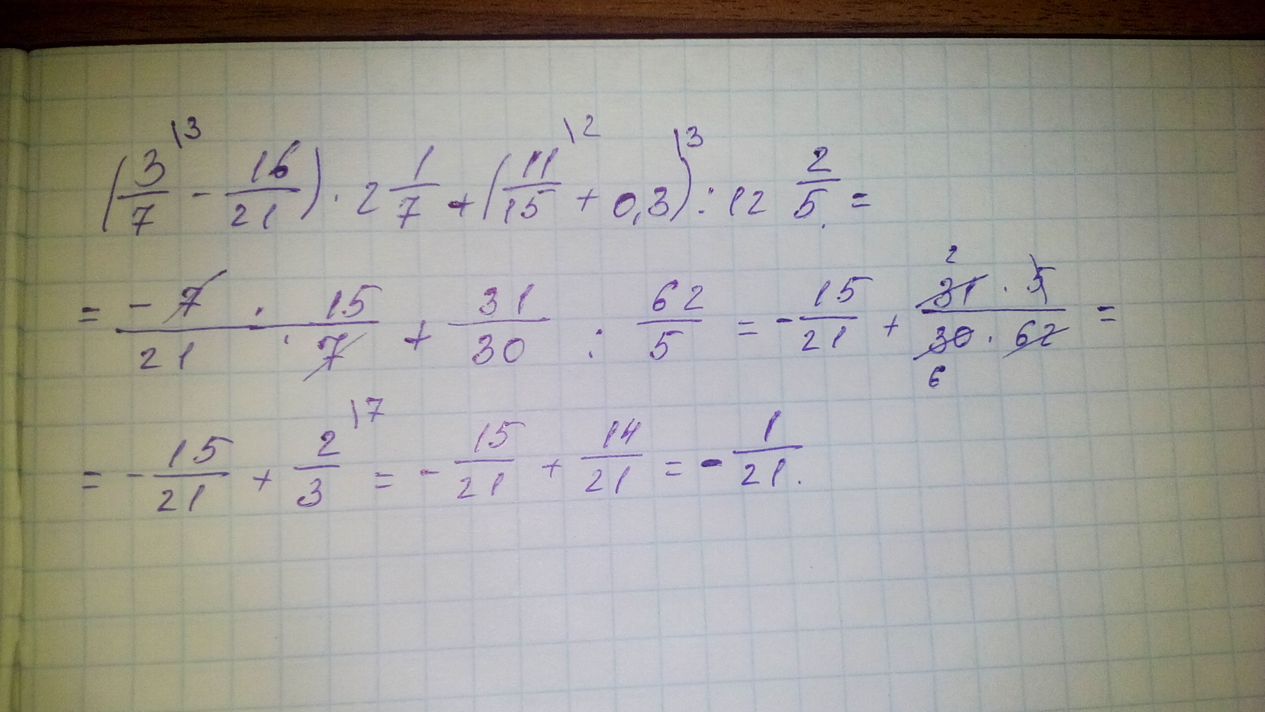
Вот, решение на фото
Приложения:
Похожие вопросы
Предмет: Математика, автор: snezhanar39gmailcom
Предмет: Математика, автор: ktotookdhdh
Реши кроссворд.
1. В каком разряде стоит цифра 3 в числе 1928376?
2. Как называют натуральные числа, записанные одной цифрой?
3. Как называют класс, который расположен вторым справа?
4. Как называют натуральные числа, записанные двумя цифрами?
5. Как называют числа, которые используют для подсчёта предметов?
6. Для того, чтобы прочитать многозначное число это число разбивают на группы по три цифры в каждой. Как называют эти группы?
7. Как называется число 1000000?
8. Какая цифра означает отсутствие единиц данного разряда?
9. Как называют числа, которые могут начинаться с любой цифры, кроме 0 и они не являются однозначными?
10. В каком разряде стоят цифры 6 и 3 в числе 123456?
11. Как называется запись натуральных чисел, которой мы пользуемся?
12. Как называют специальные знаки, которыми записывают натуральные числа?
13. На что разбивается справа на лево каждый класс?
14. В каком разряде стоят цифры 4 и 7 в числе 9876543?

Предмет: Математика, автор: zhumakhanova95
Предмет: Математика, автор: 19guljan72