Предмет: Алгебра,
автор: yulyasmernyagi
помогите пожалуйста с системами неравенств!
НУЖЕН РИСУНОК
Приложения:
Ответы
Автор ответа:
0
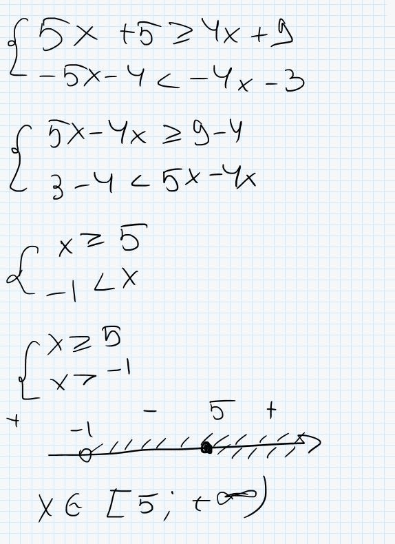
Если у тебя проблема только в рисунке, то тут все просто.
Если знак больше или меньше - то это закрашенная точка и круглая скобка.
Если знак больше или равно, меньше или равно - то это черная точка и квадратная скобка.
Когда система неравенств, то ты отмечаешь одно неравенство наверху, а второе внизу.
Если знак больше или меньше - то это закрашенная точка и круглая скобка.
Если знак больше или равно, меньше или равно - то это черная точка и квадратная скобка.
Когда система неравенств, то ты отмечаешь одно неравенство наверху, а второе внизу.
Приложения:
Похожие вопросы
Предмет: Химия,
автор: YusoMan
Предмет: Алгебра,
автор: vysa8
Предмет: Биология,
автор: aibarysbaztai
Предмет: Физика,
автор: Аноним
Предмет: Обществознание,
автор: Егор983