Предмет: Информатика,
автор: ivanoiar
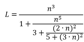
Перевидите изображение в вид уравнения (единой строкою)
Приложения:
Ответы
Автор ответа:
0
L = n^3/(1 + n^5/(3 + (2*n)^2/(5 + (3*n)^2)))
Похожие вопросы
Предмет: Математика,
автор: school99999
Предмет: Математика,
автор: abubakr200209
Предмет: Алгебра,
автор: alehas287
Предмет: Биология,
автор: УмныйКотэФрик
Предмет: Алгебра,
автор: некит5525