Предмет: Алгебра,
автор: TheReusGP
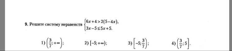
Решите систему неравенств
Можно пожалуйста решение!!!
Приложения:
Ответы
Автор ответа:
0
{6х+4>10–8х
{3х–5<=5х+5
{14х>6
{–2х<=10
{х>3/7
{х>=–5
Ответ: 1) (3/7;+бескон)
{3х–5<=5х+5
{14х>6
{–2х<=10
{х>3/7
{х>=–5
Ответ: 1) (3/7;+бескон)
Похожие вопросы
Предмет: Алгебра,
автор: sofia161315
Предмет: Алгебра,
автор: voronovak990
Предмет: Алгебра,
автор: wqihks
Предмет: Математика,
автор: Mashulia1111