Предмет: Математика,
автор: pomogaika1000
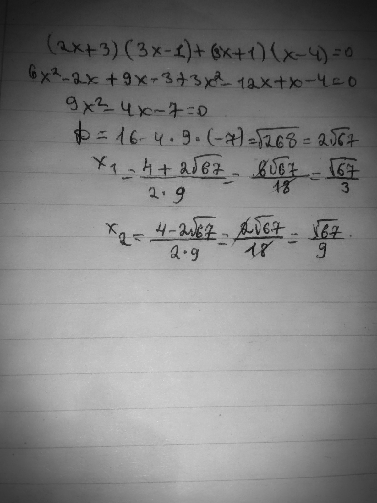
упрастить выражение (2x+3) (3x-1)+(3x+1) (x-4) пожалуйста помогите срочно
Ответы
Автор ответа:
0
может быть так решиться надеюсь помогла вам☆
Приложения:
Похожие вопросы
Предмет: Биология,
автор: SavPik
Предмет: География,
автор: rrodin2000
Предмет: Физика,
автор: squid212
Предмет: Математика,
автор: popovamashka123
Предмет: Алгебра,
автор: terpugovaaaaaa