Предмет: Алгебра,
автор: wwwpretty
Помогите!
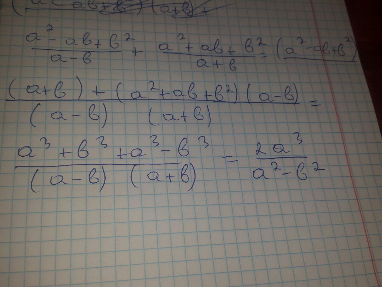
a^2-ab+b^2/a-b + a^2+ab+b^2/a+b
Ответы
Автор ответа:
0
Надеюсь верно записал. Если что то не понятно, то спрашивай.
Приложения:
Похожие вопросы
Предмет: Английский язык,
автор: anisov
Предмет: География,
автор: natashakosonogova78
Предмет: География,
автор: hromdrila
Предмет: Химия,
автор: Валь1