Предмет: Алгебра,
автор: Poli44444
Вычислить, помогите, пожалуйста!!!!!!
Приложения:
Ответы
Автор ответа:
0
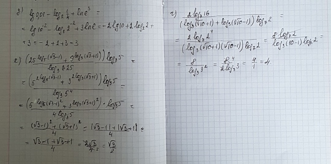
решение задания смотри на фотографии
Приложения:
Автор ответа:
0
пожалуйста
Похожие вопросы
Предмет: Математика,
автор: vstipanov169
Предмет: Математика,
автор: polinavarlakova05
Предмет: Другие предметы,
автор: SashaCetLove
Предмет: Математика,
автор: serova1983
Предмет: Литература,
автор: innayashina