Предмет: Химия,
автор: bogdanapavliuk11
Помогите пожалуйста!!!
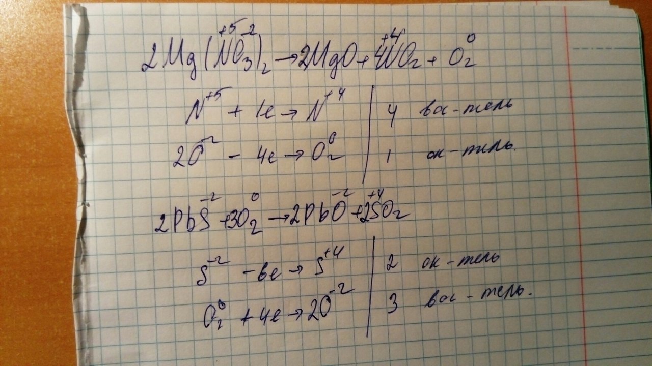
Выберите схемы, которые соответствуют окислительно-восстановительным реакциям и превратите их в химические уравнения методом электронного баланса:
a) AgNO3 + HCl = HNO3 + AgCl;
б) Li2O + H2SO4 = Li2SO4 + H2O;
в) Mg (NO3) 2 = MgO + NO2 + O2;
г) PbS + O2 = PbO + SO2.
Ответы
Автор ответа:
0
.......................................................................
Приложения:
Похожие вопросы
Предмет: Математика,
автор: kjjdsydcb
Предмет: Информатика,
автор: 79139564451n
Предмет: Математика,
автор: arinaf081
Предмет: Химия,
автор: ansatasyabesso