Предмет: Алгебра,
автор: 3ann38
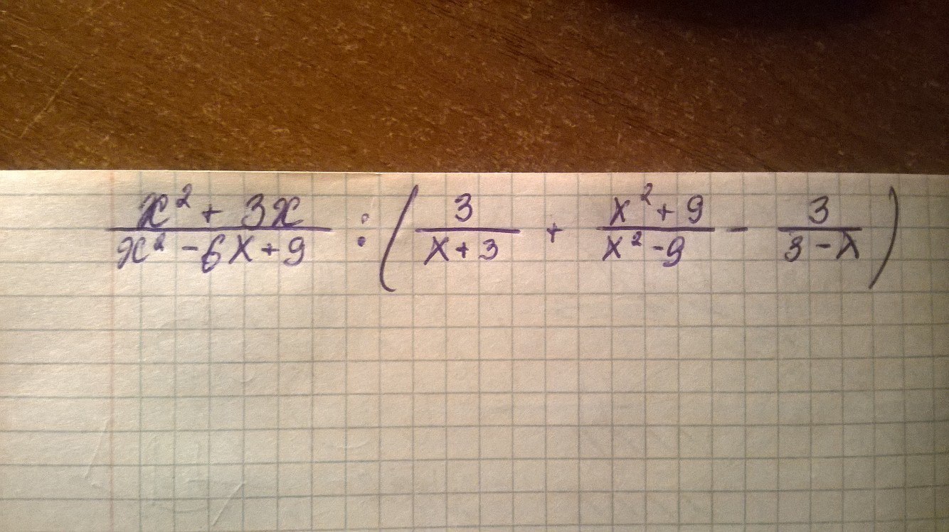
Найдите значение выражения при х=6
Приложения:
Ответы
Автор ответа:
0
х/х-3 это упрощенное выражение, а ответ 2
Похожие вопросы
Предмет: Математика,
автор: alicebalakireva
Предмет: Қазақ тiлi,
автор: kanapinadaria375
Предмет: Химия,
автор: Golobokovaveronika6
Предмет: Алгебра,
автор: lutkova77
Предмет: Литература,
автор: eniki1966