Предмет: Математика,
автор: Giri11
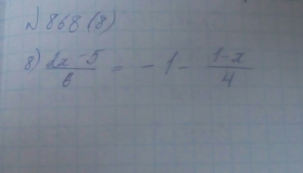
решите пожалуйста, заранее спасибо
Приложения:
Ответы
Автор ответа:
0
Гулигулигулигулигулигули
Приложения:
Автор ответа:
0
пожалуйста <3
Похожие вопросы
Предмет: Алгебра,
автор: hohlovalina9
Предмет: История,
автор: dzisyuks
Предмет: Математика,
автор: kovalenkoegor2011
Предмет: Биология,
автор: mariaklbv
Предмет: Алгебра,
автор: Mossy