Предмет: Алгебра,
автор: LizaMakkkkkkkk345
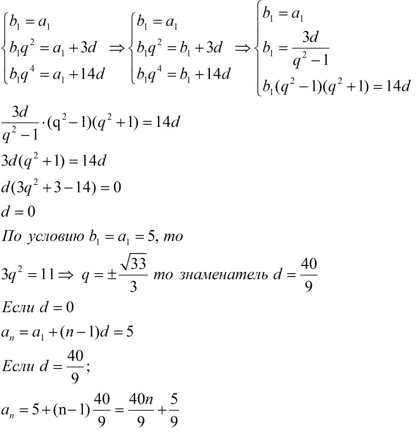
первый, третий и пятый члены геометрической прогрессии являются соответственно первым, четвертым и пятнадцатым члееами арифметической прогресси найдите an если ее первый член равен 5
Ответы
Автор ответа:
0
*************************************
Приложения:
Похожие вопросы
Предмет: Геометрия,
автор: taisianesinova56
Предмет: Другие предметы,
автор: lvanna
Предмет: История,
автор: Аноним
Предмет: Математика,
автор: aztelekomshamaxi
Предмет: География,
автор: Medina95