Предмет: Алгебра,
автор: shabanovaolga
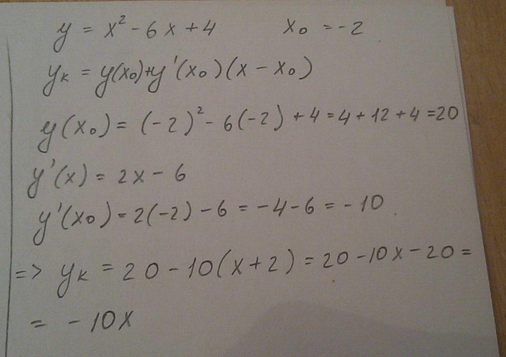
Составьте уравнение касательной
Приложения:
Ответы
Автор ответа:
0
Наверное, так..........
Приложения:
Похожие вопросы
Предмет: Алгебра,
автор: marianakmi
Предмет: История,
автор: ppetuhova20
Предмет: Английский язык,
автор: margaritkasmagajlo
Предмет: Математика,
автор: ol120578
Предмет: Математика,
автор: южнее