Предмет: Математика,
автор: raafau
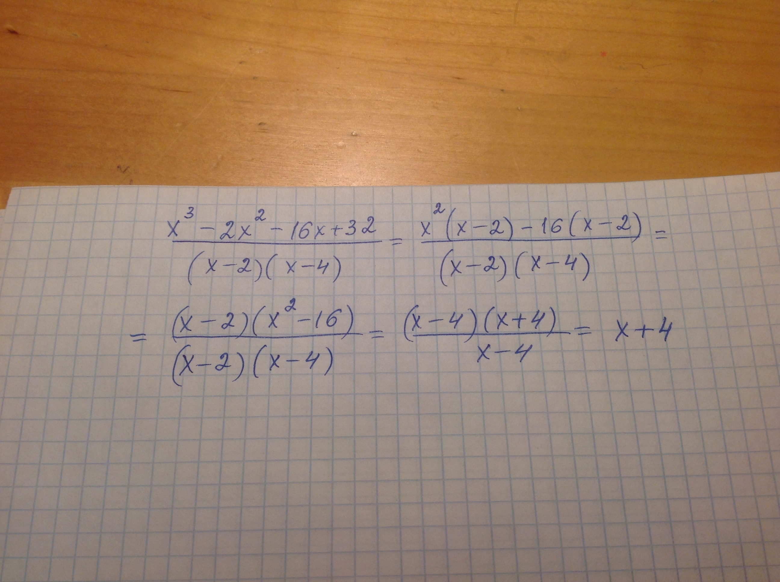
сократите дробь:
Ответы
Автор ответа:
0
Решение смотри на фото
Приложения:
Автор ответа:
0
х^3 - 2х^2 - 16х + 32 / (х-2)*(х-4) = х^2(х-2) - 16(х - 2) / (х-2)*(х-4) = (х^2 - 16)*(х - 2) / (х-2)*(х-4) = х^2 - 16 / х-4 = (х-4)*(х+4)/(х-4) = х + 4.
Приложения:
Похожие вопросы
Предмет: Математика,
автор: sasha7953
Предмет: Химия,
автор: ksiualkachevich
Предмет: Русский язык,
автор: artem57577897631
Предмет: Алгебра,
автор: DayZoreRus
Предмет: Математика,
автор: gelya1212