Предмет: Алгебра,
автор: Факел998
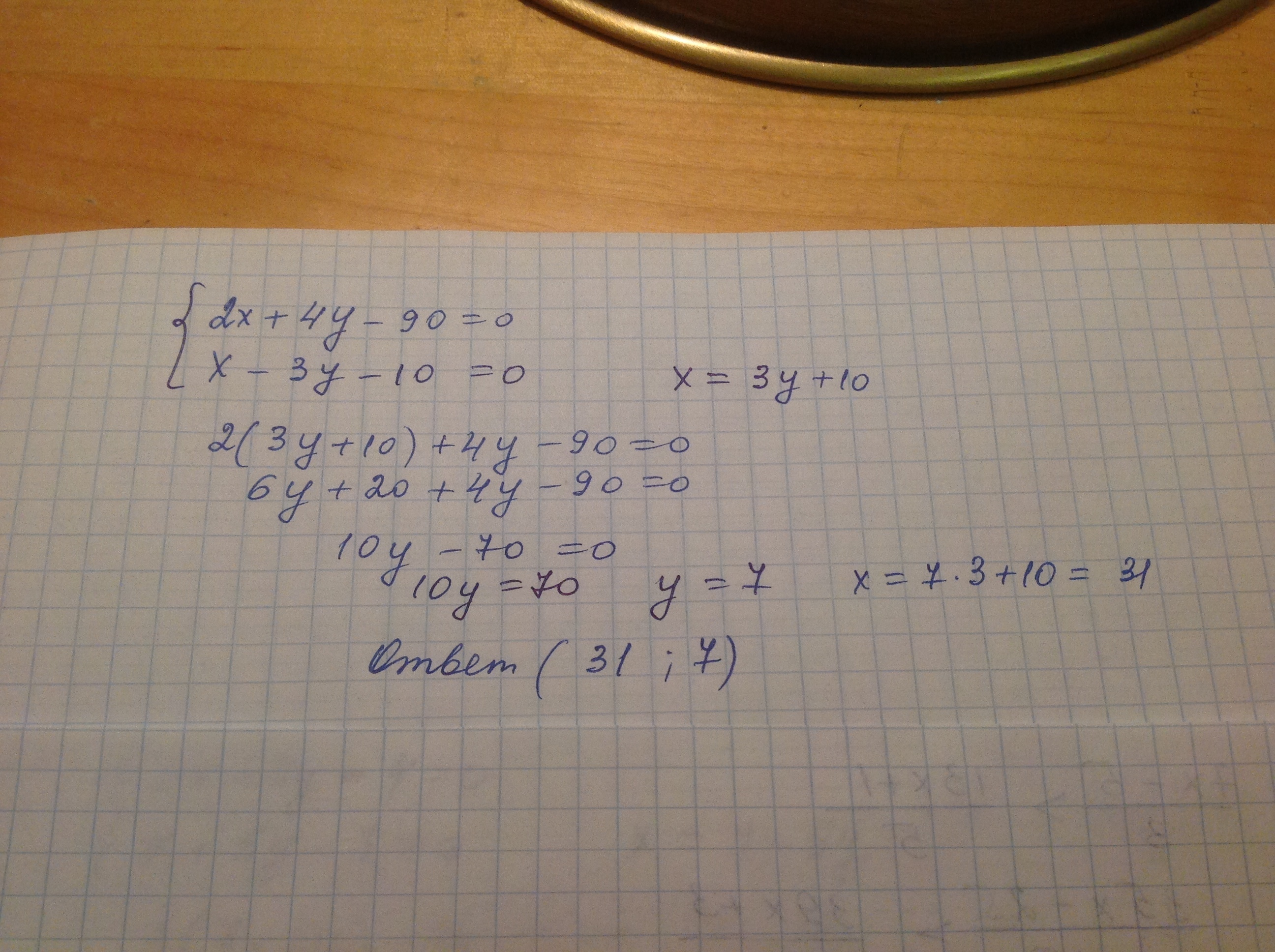
решите способом подстановки систему уравнений
ж) 2х+4у-90=0,
х-3у-10=0;
Ответы
Автор ответа:
0
Решение смотри на фото
Приложения:
Похожие вопросы
Предмет: Математика,
автор: borambaevainura
Предмет: Алгебра,
автор: danin2211
Предмет: Английский язык,
автор: amirbajgazin957
Предмет: Алгебра,
автор: dan202
Предмет: Биология,
автор: bukharevairina1