Предмет: Алгебра,
автор: indirock
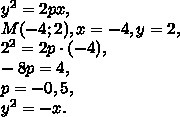
9. Парабола, симметричная относительно оси ОХ, с вершиной в начале координат проходит через точку М (-4, 2). Уравнение такой параболы имеет вид
Ответы
Автор ответа:
0
с: вот))))))))))))))
Приложения:
Похожие вопросы
Предмет: Математика,
автор: Nari89
Предмет: Английский язык,
автор: polinakugaj
Предмет: Алгебра,
автор: mafin528mey
Предмет: Литература,
автор: denkhrenov96
Предмет: Математика,
автор: yulechkamartyn