Предмет: Алгебра,
автор: marpadwahfshfsf
Помогите пожалуйста, Алгебра
даю 20 баллов
Приложения:
Ответы
Автор ответа:
0
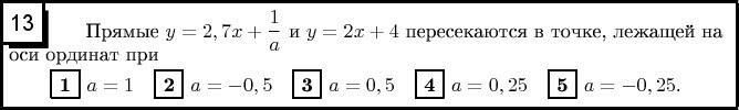
т. к. точка лежит на оси ординат, то х=0. Значит у=1/а и у=4. Ординаты у этой точки тоже одинаковые. Получим уравнение 1/а=4. 4а=1. а=1/4=0,25
Похожие вопросы
Предмет: Русский язык,
автор: alexandr19112017
Предмет: Математика,
автор: ragusinam
Предмет: Физика,
автор: veronikasmaga1
Предмет: История,
автор: милашка146
Предмет: Математика,
автор: Natalia12311