Предмет: Алгебра,
автор: Nikita261234532
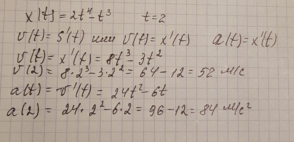
Прямолинейное движение точки описывается x(t)=2t^4-t^3 найдите её скорость и ускорение в момент времени t=2 время изменяется в секундах ,перемещение в метрах
Ответы
Автор ответа:
0
решение задания смотри на фотографии
Приложения:
Похожие вопросы
Предмет: Русский язык,
автор: Аноним
Предмет: Английский язык,
автор: Kkkkkkkiraaaa
Предмет: История,
автор: TimikNoobPlay
Предмет: Математика,
автор: ралинка3
Предмет: История,
автор: Superyanka55