Предмет: Алгебра,
автор: viktoriabond1
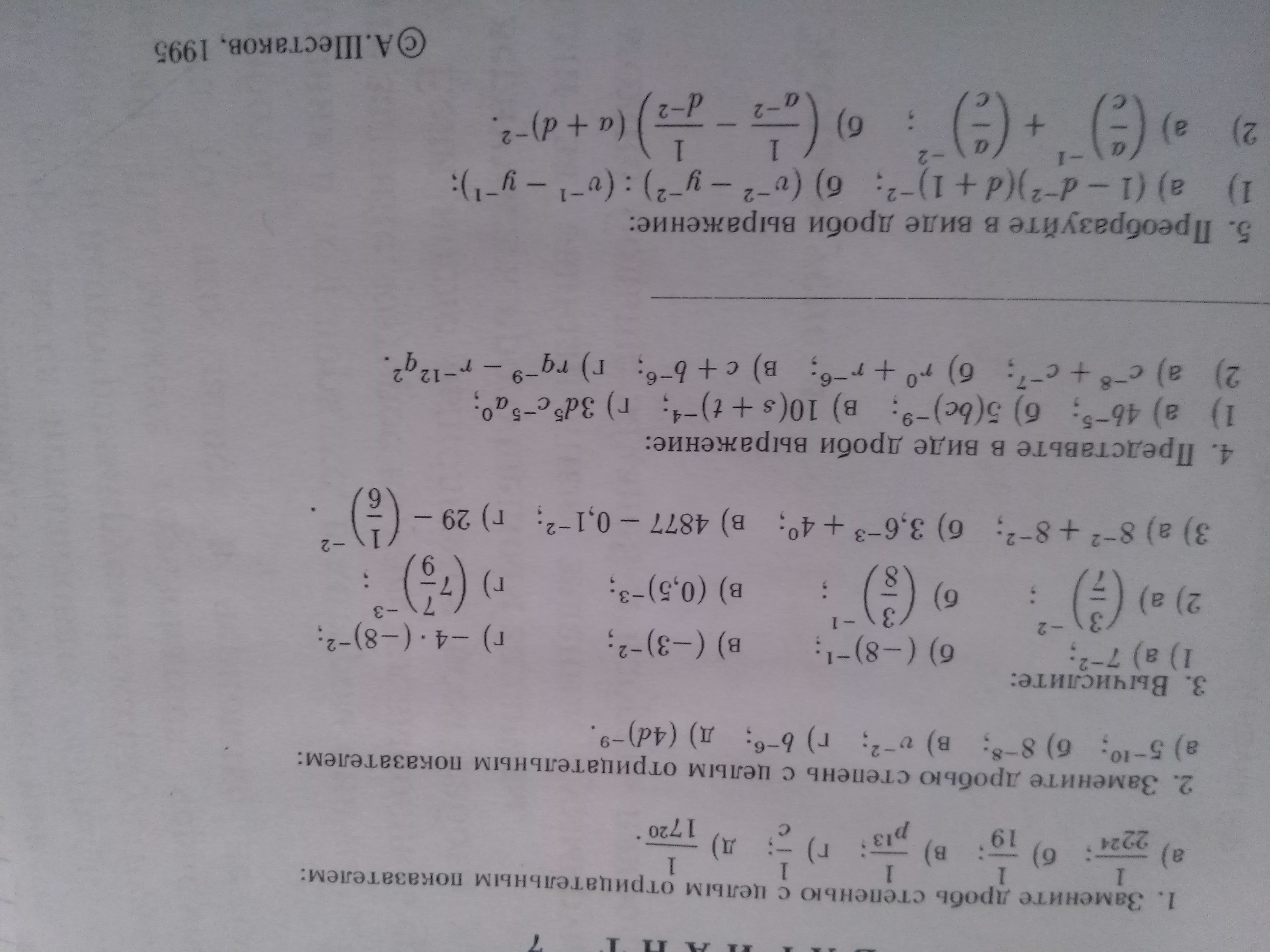
3 задание, 3 строка вообще не понимаю, как это делать
Приложения:
Ответы
Автор ответа:
0
1)-128
2)46.656
3)4877.01
4)29.1 дробная черта 36
2)46.656
3)4877.01
4)29.1 дробная черта 36
Автор ответа:
0
Как это все получилось?
Похожие вопросы
Предмет: Математика,
автор: PROFESSOR56
Предмет: География,
автор: tamellam27
Предмет: Физика,
автор: kurlykgus
Предмет: Математика,
автор: ksena95414
Предмет: Математика,
автор: anigoshina2014