Предмет: Алгебра,
автор: guliyaa880
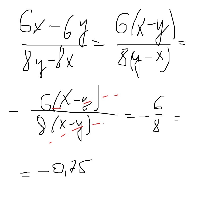
упростите выражение: 6x-6y/8y-8x
Ответы
Автор ответа:
0
Для начала в числителе вынести 6 как общий множитель а в знаменателе 8, потом вроде вынести минус за знак дробной черты чтобы можно было x и y сократить и потом делить
Приложения:
Автор ответа:
0
6х-0,75-8х=-0,75-2х ( в дроби 6у/8у делим числитель и знаменатель на 2у получаем 3/4=0,75 )
Приложения:
Похожие вопросы
Предмет: История,
автор: varapetrova281
Предмет: Русский язык,
автор: LizaVeta1001RUS
Предмет: Английский язык,
автор: salikovnail24
Предмет: Информатика,
автор: Lee87Ho
Предмет: Литература,
автор: dotolga