Предмет: Алгебра,
автор: kolobok2000
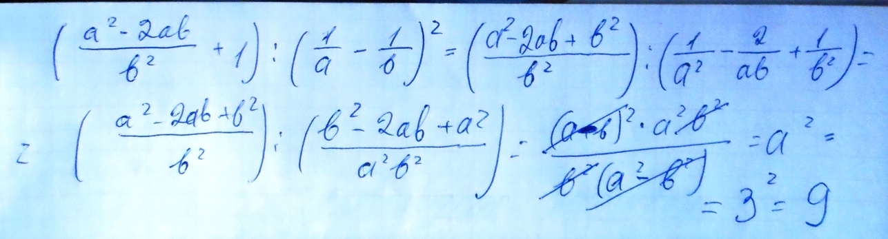
решить пример

при a=3, b=2
Ответы
Автор ответа:
0
!!!!!!!!!!!!!!!!!!!!!!!!!!!!!!!
Приложения:
Похожие вопросы
Предмет: Английский язык,
автор: dasamokina2009
Предмет: Алгебра,
автор: ethdmwnsn
Предмет: Биология,
автор: anastasianikitcenko4
Предмет: Алгебра,
автор: maksshipkov
Предмет: Литература,
автор: Анна3677