Предмет: Алгебра,
автор: nastena353
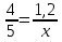
Найдите неизвестный член пропорции
Приложения:
Ответы
Автор ответа:
0
Неизвестный член пропорции равен 1,8
Похожие вопросы
Предмет: Геометрия,
автор: arinamarr
Предмет: Английский язык,
автор: polinapr2020
Предмет: Литература,
автор: Mila054
Предмет: Математика,
автор: Аноним
Предмет: Математика,
автор: Аннa1234