Предмет: Физика,
автор: tana66586
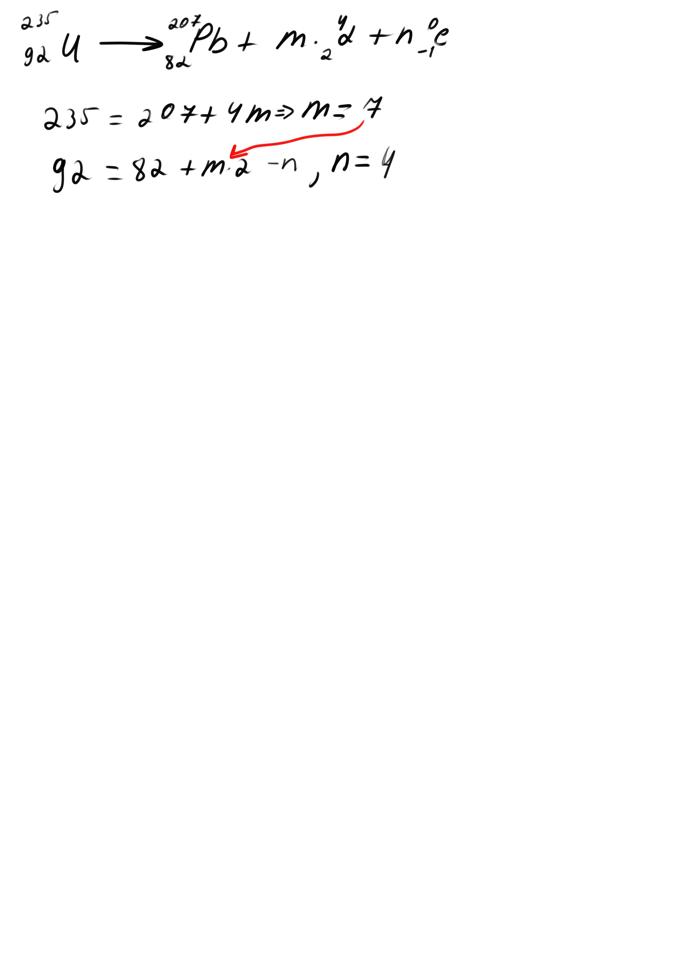
Сколько альфа – и бета-распадов испытывает 235 92U в процессе последовательно превращения в 207 82Pb ?
Ответы
Автор ответа:
0
просто записываешь сколько частиц было и сколько стало
Приложения:
Похожие вопросы
Предмет: Қазақ тiлi,
автор: rakhymbay1405
Предмет: География,
автор: tilegenaida
Предмет: Математика,
автор: nsuraegina
Предмет: География,
автор: Тансылу12345
Предмет: Биология,
автор: Аноним