Предмет: Алгебра,
автор: Winter1Soldier
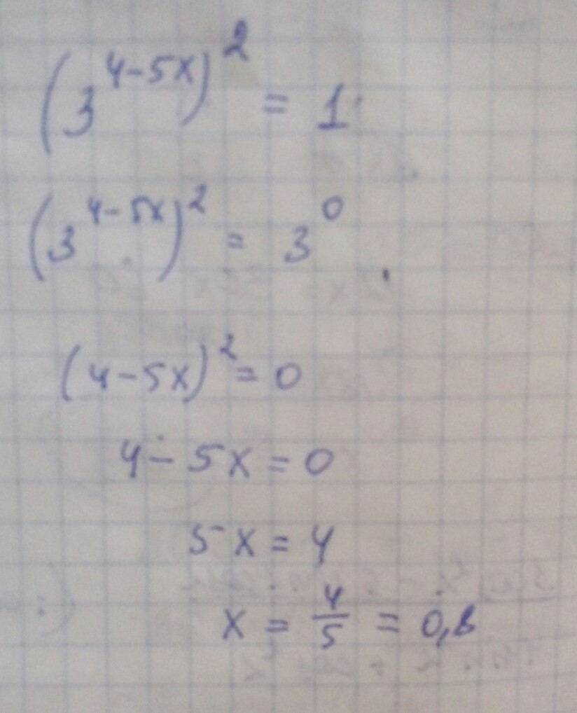
(3^(4-5x))^2=1 помогите пожалуйста
Приложения:
Ответы
Автор ответа:
0
Решение смотри на фото
Приложения:
Похожие вопросы
Предмет: Физика,
автор: beliusovatatana706
Предмет: Алгебра,
автор: human3243
Предмет: Информатика,
автор: ssssyd
Предмет: Физика,
автор: kdasha2015