Предмет: Алгебра, автор: WOOOOOOOOOOOW

помогите с алгеброй решите уравнения 8 класс на листочке решите и кик фотку пж

Приложения:

Ответы

Автор ответа: samodina
0
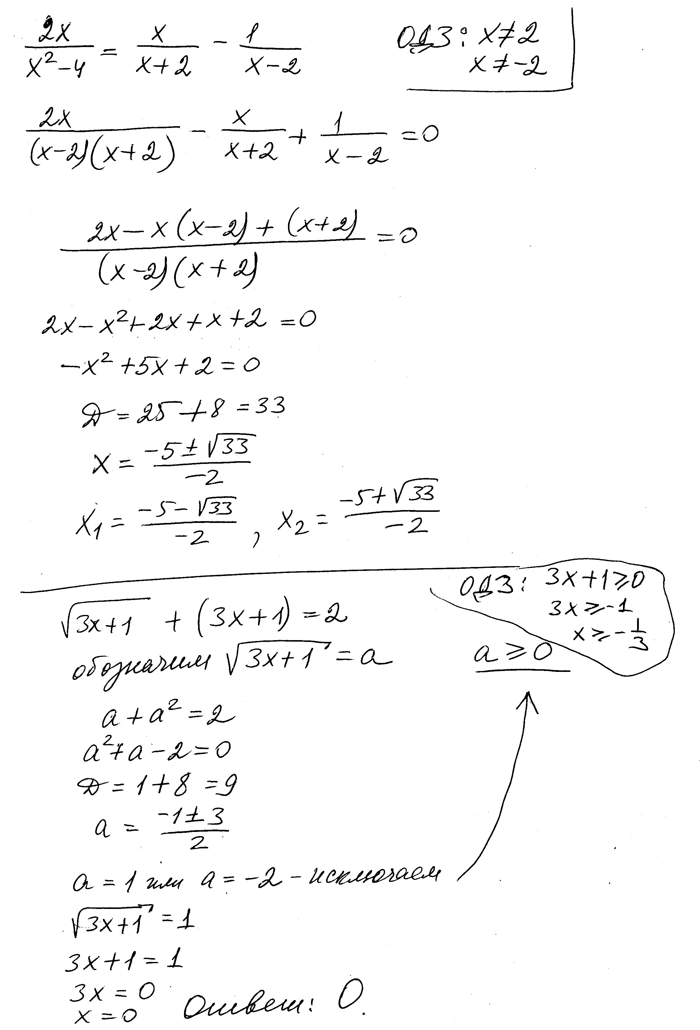
решение уравнений во вложенном файле
Приложения:
Автор ответа: sofiyavictoria
0

2.  2x/x^2-4=x/x+2-1/x-2.    x^2-4 не =+-2

2х=х*(х-2)-(х+2).   2x=x^2-2x-x-2.   x^2-5x-2=0.   D= 25+8=33

x1=(5+корень из 33)/2.   x2=(5- корень 33)/2

3. Пусть корень из 3х+1=у. Тогда получим уравнение у^2+y-2=0.

D=1+8=9=3^2.  y1=(-1+3)/2=1                        y2=(-1-3)/2=-2

                         3x+1=1. 3x=0.  x=0.                3x+1=-2,   3x=-3.    x=-1





Приложения:
Похожие вопросы
Предмет: Литература, автор: meryem1601ch
Предмет: Алгебра, автор: staa