Предмет: Алгебра, автор: SBT

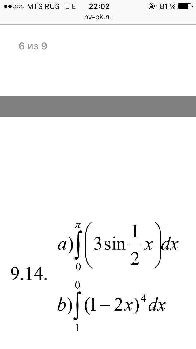
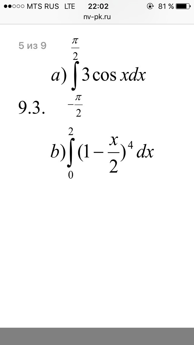
Помогите решить 9.3 и 9.14 даю 40 баллов

Приложения:

Ответы

Автор ответа: NNNLLL54
0
9.3a); ;  intlimits^{frac{pi}{2}}_{-frac{pi}{2}} {3cdot cosx} , dx =3cdot sinxBig |_{-frac{pi}{2}}^{frac{pi}{2}}=\\=3cdot (sin frac{pi }{2} -sin(- frac{pi }{2} ))=3(1+1)=6\\9.3b); ;  intlimits^2_0 {(1-frac{x}{2})^4} , dx =-2cdot frac{(1-frac{x}{2})^5}{5}, Big |_0^2=-frac{2}{5}cdot (0^5-1^5)=frac{2}{5}

9.14a); ;  intlimits^{pi }_0 {3sinfrac{x}{2}} , dx =3cdot 2cdot (-cosfrac{x}{2})Big |_0^{pi }=\\=6cdot (-cosfrac{pi}{2}+cos, 0)=6cdot (-0+1)=6\\9.14b); ;   intlimits^0_1 {(1-2x)^4} , dx =-frac{1}{2}cdot  frac{(1-2x)^5}{5}  Big |_1^0=\\=-frac{1}{10}cdot (1^5-(-1)^5)=-frac{1}{10}cdot 2=-frac{1}{5}=-0,2\\\Formyla:; ; ; int (ax+b)^{k}dx=frac{1}{a}cdot  frac{(ax+b)^{k+1}}{k+1} +C
Похожие вопросы
Предмет: Математика, автор: Аноним
Предмет: История, автор: 1Любашка2