Предмет: Алгебра,
автор: Ivanqwer
Алгебра.20 баллов.спасибо
Приложения:
Ответы
Автор ответа:
1
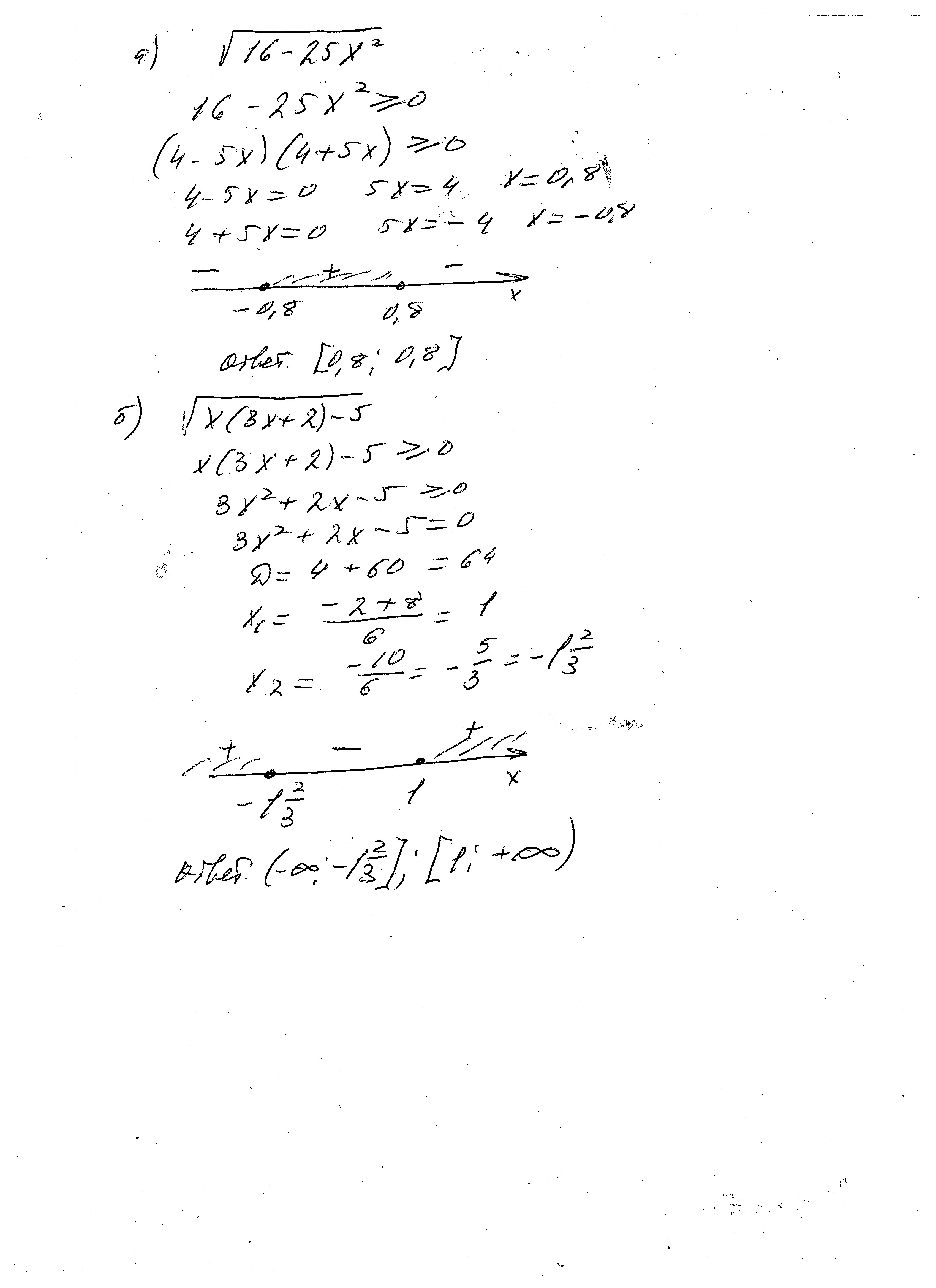
Решение- в приложении
Приложения:
Ivanqwer:
Спасибо большое
пожалуйста)
Похожие вопросы
Предмет: Английский язык,
автор: janewalls1313
Предмет: Алгебра,
автор: andrijsinkaruk210
Предмет: Математика,
автор: pogrebnaaeva777
Предмет: История,
автор: maxim3310
Предмет: Математика,
автор: yulia5580