Предмет: Алгебра,
автор: SHERHAN11111
помогите пожплуйста!!
Приложения:
Ответы
Автор ответа:
1
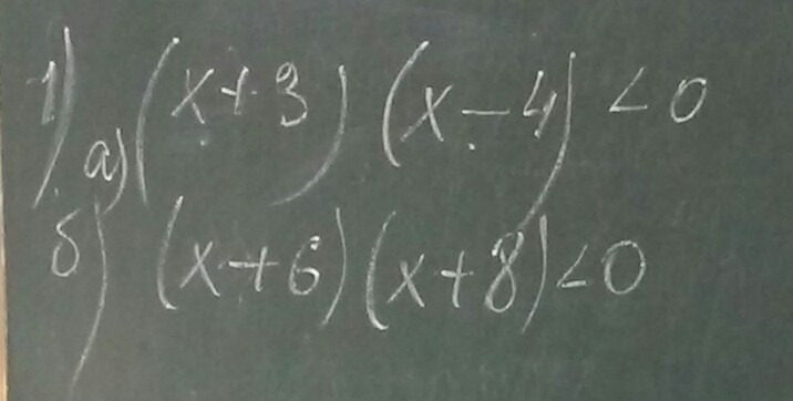
(x + 3)(x - 4) < 0
x + 3 = 0
x = - 3
x - 4 = 0
x = 4
+ - +
--------- ( - 3) ---------------(4) ----------> x
x ∈ ( - 3; 4)
=====================================
(x + 6)(x + 8) < 0
x + 6 = 0
x = - 6
x + 8 = 0
x = - 8
+ - +
---------- (- 8) --------------( - 6) ---------> x
x ∈ ( - 8; - 6)
x + 3 = 0
x = - 3
x - 4 = 0
x = 4
+ - +
--------- ( - 3) ---------------(4) ----------> x
x ∈ ( - 3; 4)
=====================================
(x + 6)(x + 8) < 0
x + 6 = 0
x = - 6
x + 8 = 0
x = - 8
+ - +
---------- (- 8) --------------( - 6) ---------> x
x ∈ ( - 8; - 6)
Похожие вопросы
Предмет: Геометрия,
автор: kovalenkotimka
Предмет: Другие предметы,
автор: nasholodnb
Предмет: Другие предметы,
автор: nasholodnb
Предмет: Французский язык,
автор: opasnuypelmeshek
Предмет: Английский язык,
автор: Аноним