Предмет: Математика,
автор: vechorekdiana
Терміново!!!!!!!!!!!!!!!!!!!!!!!!!!!
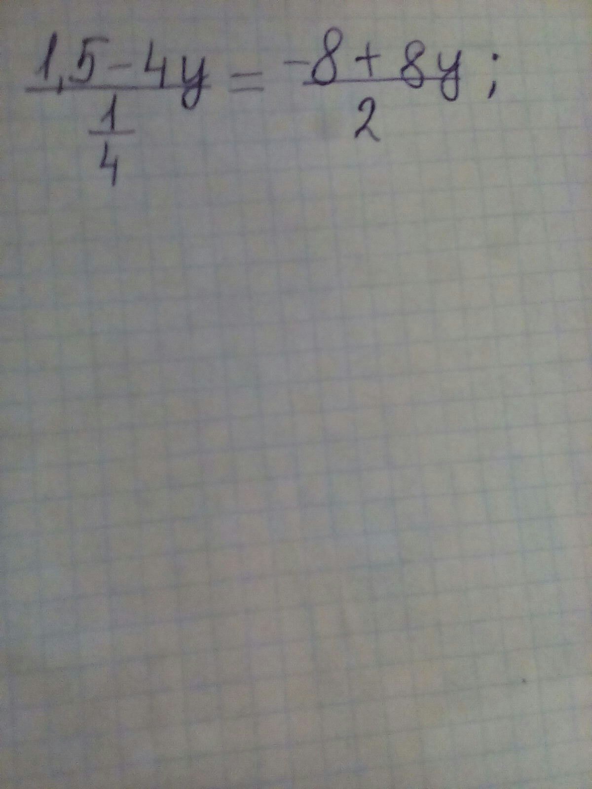
Знайдіть корінь рівняння.
Даю 30 балів!!!
Приложения:
Ответы
Автор ответа:
2
( 1,5 - 4y ) / ( 1/4 ) = ( - 8 + 8y ) / 2
1/4 = 0,25
0,25( - 8 + 8y ) = 2( 1,5 - 4y )
- 2 + 2y = 3 - 8y
2y + 8y = 3 + 2
10y = 5
y = 0,5
1/4 = 0,25
0,25( - 8 + 8y ) = 2( 1,5 - 4y )
- 2 + 2y = 3 - 8y
2y + 8y = 3 + 2
10y = 5
y = 0,5
Похожие вопросы
Предмет: Немецкий язык,
автор: dvoretska10
Предмет: Математика,
автор: abrwife
Предмет: Физика,
автор: Wikc13
Предмет: История,
автор: ArByZ00500760