Предмет: Алгебра,
автор: Babybells777
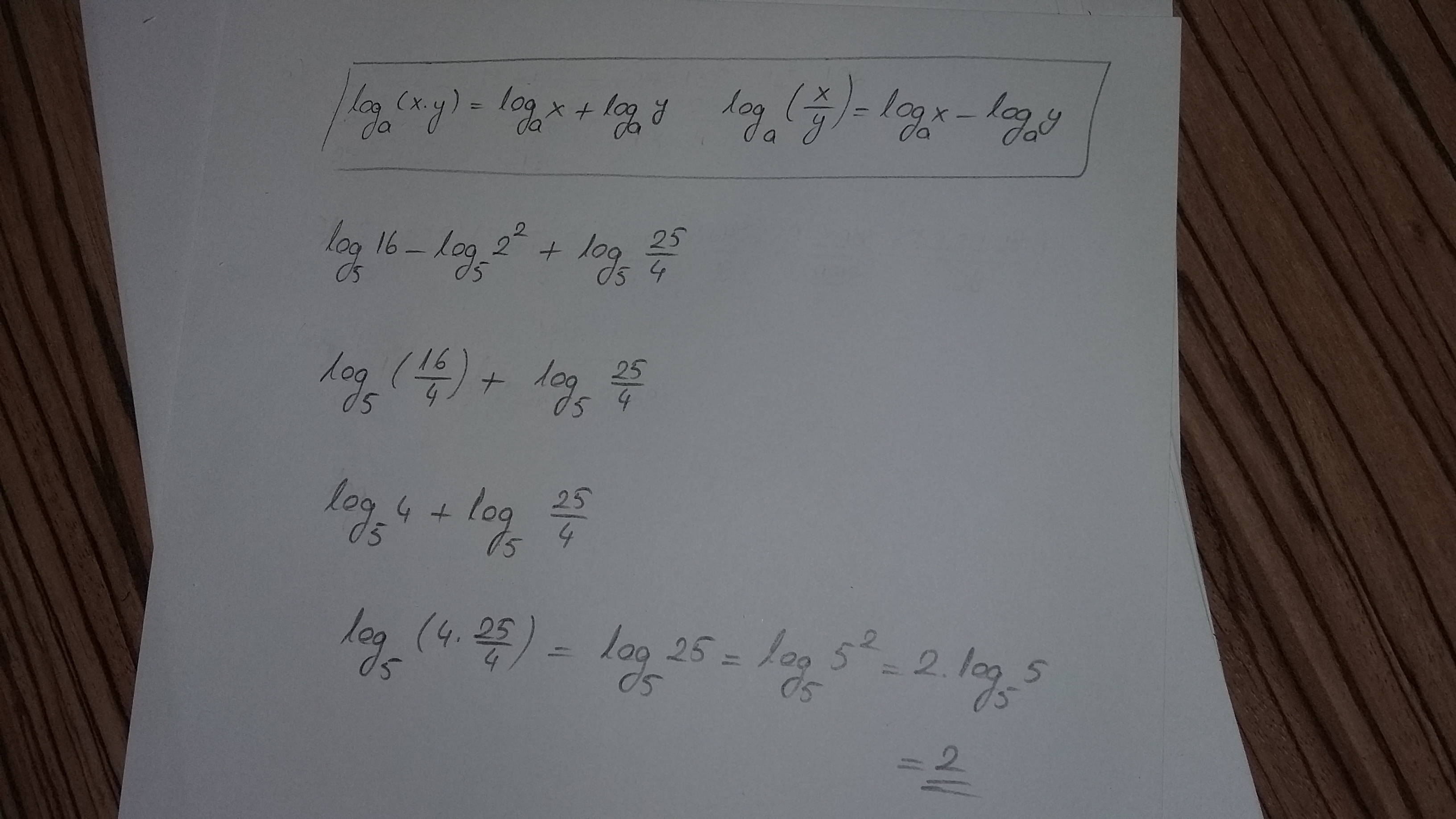
Как это решить???????????
Приложения:
Nananey2000:
Основание какое?
основание 5
Ответы
Автор ответа:
2
I hope this helps you
Приложения:
Спасииибо большое))) Thank you very much))))
you're welcome ^-^
Похожие вопросы
Предмет: Оʻzbek tili,
автор: hamidovab87
Предмет: Геометрия,
автор: Ver0nika2010
Предмет: Химия,
автор: dimakosik2008
Предмет: Литература,
автор: nik7984
Предмет: Литература,
автор: polinaakinova0