Предмет: Алгебра, автор: pyurtrqyet

30 балов. Геометртческая прогрессия:
b5 = 10 , q = - 2/3 , S7 - ?

Ответы

Автор ответа: dtnth
0
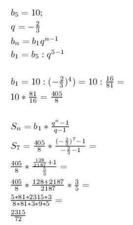
b_5=10;
q=-\frac{2}{3}
b_n=b_1q^{n-1}
b_1=b_5:q^{5-1}

b_1=10:(-\frac{2}{3})^{4})=10:\frac{16}{81}=
10*\frac{81}{16}=\frac{405}{8}

S_n=b_1*\frac{q^n-1}{q-1}
S_7=\frac{405}{8}*\frac{(-\frac{2}{3})^7-1}{-\frac{2}{3}-1}=
\frac{405}{8}*\frac{\frac{128}{2187}+1}{\frac{5}{3}}=
\frac{405}{8}*\frac{128+2187}{2187}*\frac{3}{5}=
\frac{5*81*2315*3}{8*81*3*9*5}=
\frac{2315}{72}
Приложения:
Похожие вопросы
Предмет: Алгебра, автор: sport1059