Предмет: Алгебра,
автор: 11КСЮ11
Какую сумму придётся аплатить бригаде строителей за ремонт комнаты,длина которой 4,5 метра, ширина, 3,5 метра и высота 3 метра,если ремонт квадратного метра стен стоит 350 рублей,пола-400 руб.,потолка 500 руб,при этом в комнате имеются две двери размером 80 см * 2 и оно 2,5 м * 2 м, ремонт которых непредусмотрен?
Ответы
Автор ответа:
0
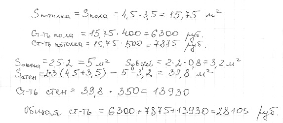
стены
(4,5*3+3,5*3)*2=48
0,8*2*2=3,2
2,5*2=5
48-3,2-5=39,8
39,8*350=13930 руб
пол
4,5*3,5=15,75
15,75*400=6300руб
потолок
15,75*500=7875 руб
всенго 13930+6300+7875=28105 руб
Автор ответа:
0
у меня вышла общая сумма оплаты 28105 рублей
Приложения:
Похожие вопросы
Предмет: Математика,
автор: alemnasta
Предмет: Биология,
автор: ilona4483
Предмет: Математика,
автор: malina666999
Предмет: Математика,
автор: slava9676
Предмет: Обществознание,
автор: Аноним