Предмет: Математика,
автор: jordan1234
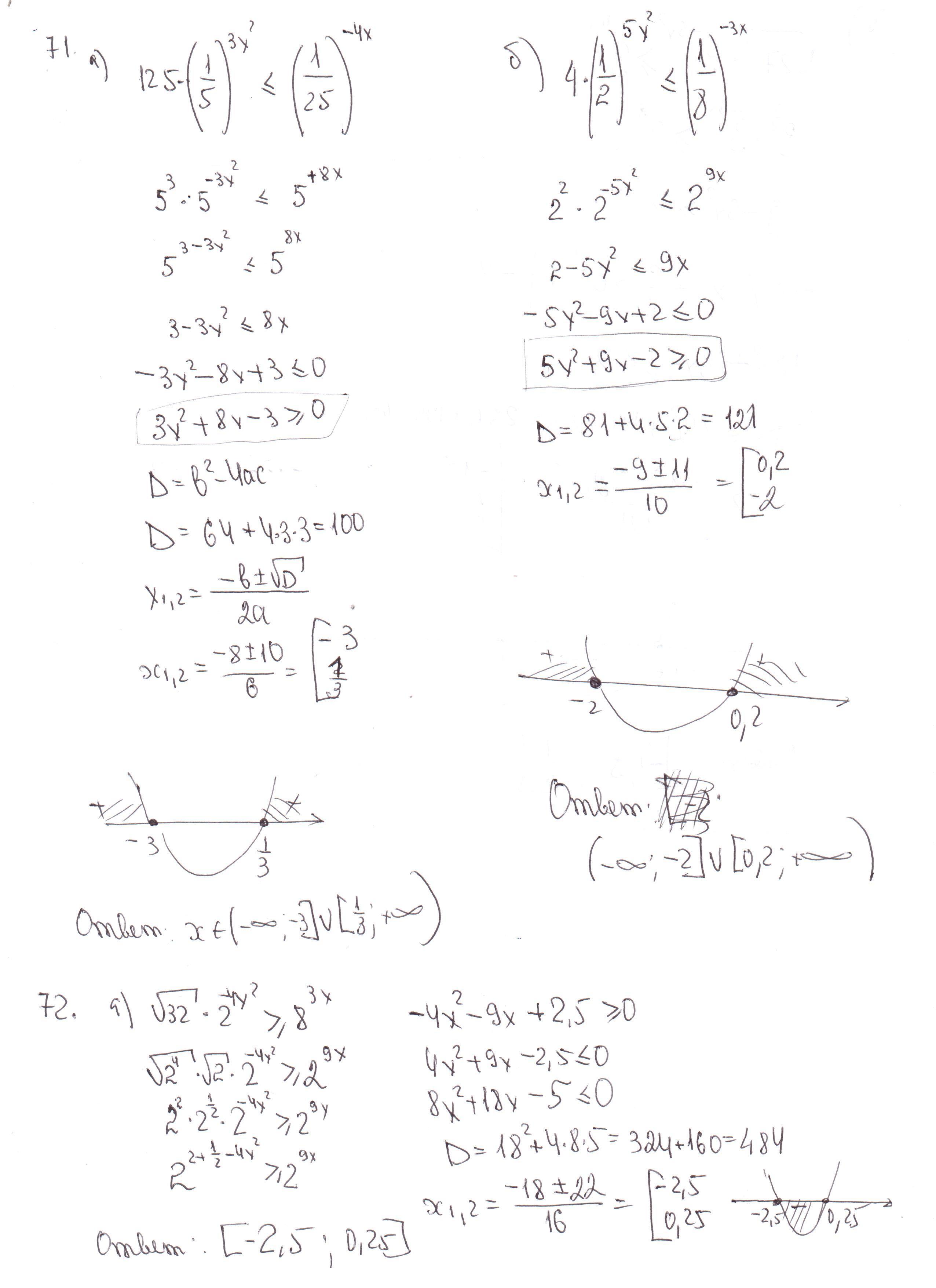
Пожалуйста, решите что сможете.
Приложения:
Ответы
Автор ответа:
0
Решение на 4 листах вашего первого листа
Приложения:
Автор ответа:
0
Cпасибо большое!
Похожие вопросы
Предмет: Математика,
автор: aidaria07
Предмет: Геометрия,
автор: dianacerednicenko110
Предмет: Қазақ тiлi,
автор: mateimunisaturebek
Предмет: Математика,
автор: рахман7
Предмет: История,
автор: blabiniaanik