Предмет: Алгебра,
автор: obyava12
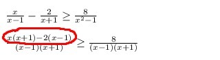
Откуда мы взяли эту строку??? Если привели к общему знаменателю, ТО КАК УМОЛЯЮ ОБЪЯСНИТЕЕЕЕЕЕ!!
Приложения:
Ответы
Автор ответа:
0
Числитель, как и знаменатель возводится в доп. множетель. Надеюсь понятно.
Автор ответа:
0
Вы возводите не только знаменатель, но и числитель. И верхнюю строчку умножение на доп. множитель и нижнюю умножаете на доп. множитель
Похожие вопросы
Предмет: Биология,
автор: margaret994
Предмет: Математика,
автор: mahandreeva784
Предмет: Українська мова,
автор: evgennezimov31
Предмет: Математика,
автор: Аноним
Предмет: Физика,
автор: aigulimankulov