Предмет: Алгебра,
автор: olda1978
Корень 2x-1=x-2 помогите пожалуйста
Ответы
Автор ответа:
0
2x-1≥0
2х≥1
х≥0,5
х-2≥0
х≥2
х∈[2; +∞)
x₁=1 не подходит
Ответ: x=5
2х≥1
х≥0,5
х-2≥0
х≥2
х∈[2; +∞)
x₁=1 не подходит
Ответ: x=5
Приложения:
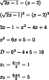
Автор ответа:
0
√2x-1=x-2
2х-1=(х-2)²
2х-1=x²-4x+4
-x²+6x-5=0
D=6²-4*5=16
x₁=1 не соотв условию 1-2=-1 ,а корень не может быть отрицаьельным
x=5
2х-1=(х-2)²
2х-1=x²-4x+4
-x²+6x-5=0
D=6²-4*5=16
x₁=1 не соотв условию 1-2=-1 ,а корень не может быть отрицаьельным
x=5
Приложения:
Автор ответа:
0
Спасибо
Похожие вопросы
Предмет: Математика,
автор: Аноним
Предмет: История,
автор: JIoLLIoK
Предмет: Музыка,
автор: alinkalinka199711
Предмет: Биология,
автор: MAKS1339