Предмет: Алгебра,
автор: annakomova205
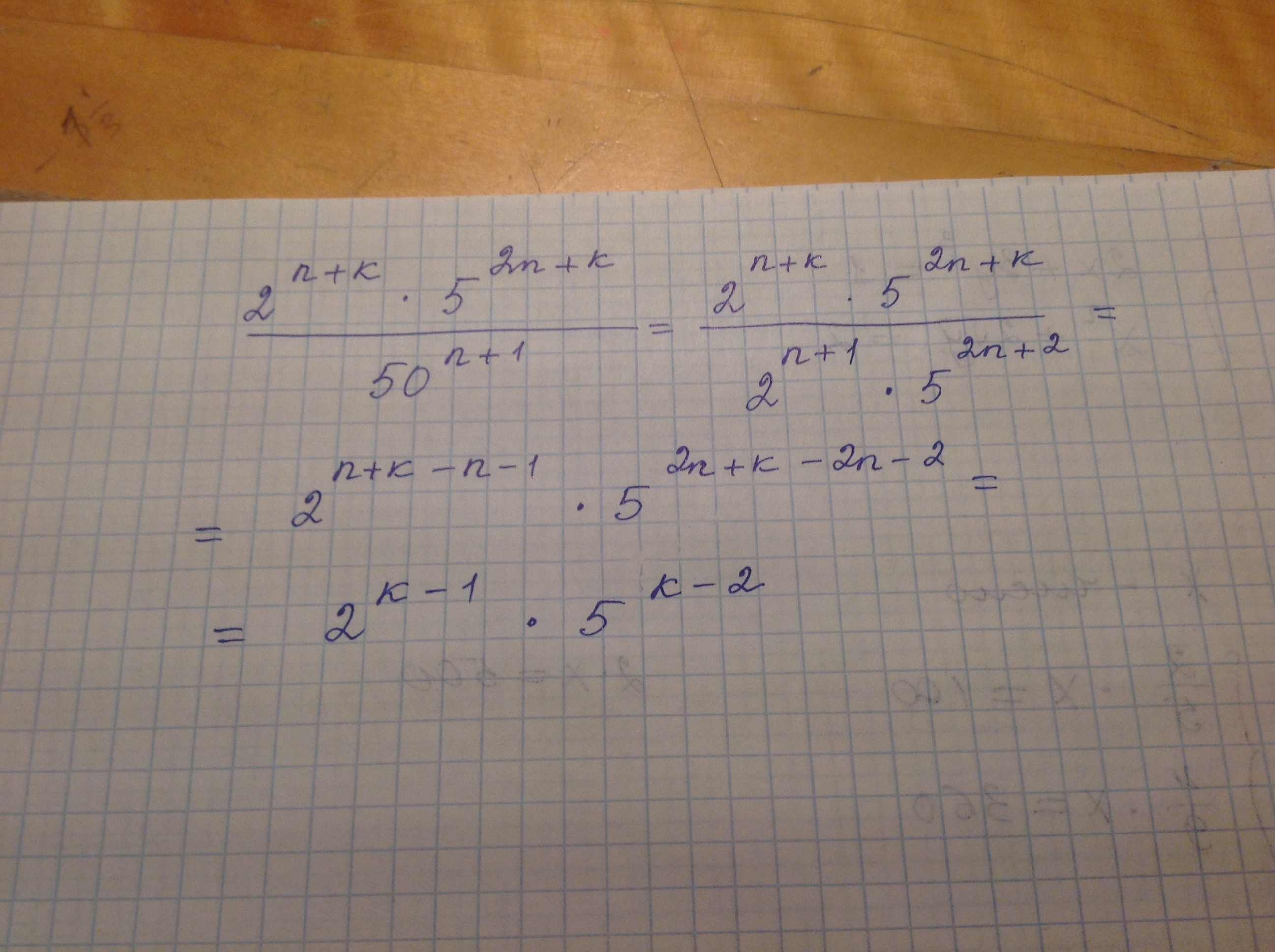
Сократите дробь:
2^n+k *5^2n+k /50^n+1
Ответы
Автор ответа:
0
Решение смотри на фото
Приложения:
Похожие вопросы
Предмет: География,
автор: Аноним
Предмет: Математика,
автор: FerryPreston
Предмет: Математика,
автор: cerdancevanadezda479
Предмет: Математика,
автор: milohka1
Предмет: Математика,
автор: люда48