Предмет: Математика,
автор: алекскубдел
помогите пожалуйста срочно нужно, даю 100 баллов .Все задания пожалуйста.
Приложения:
Ответы
Автор ответа:
0
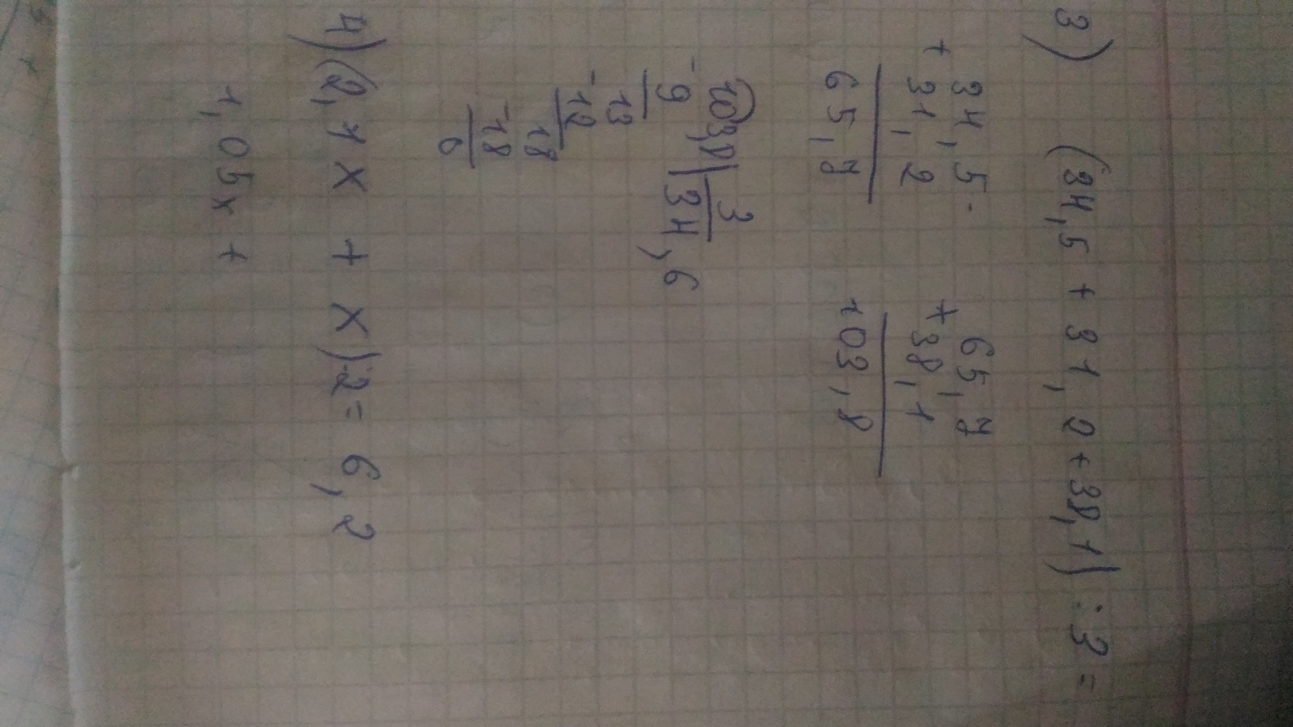
4) 1 число - х
3)7+10=17 (км) скорость сближения
4) 35,7:17=2,1(ч)
2 число - 2,1х
(2,1х+х)/2=6,2
3,1х=12,4
х=4
1 число - 4
2 число - 8,4
Ответ:4
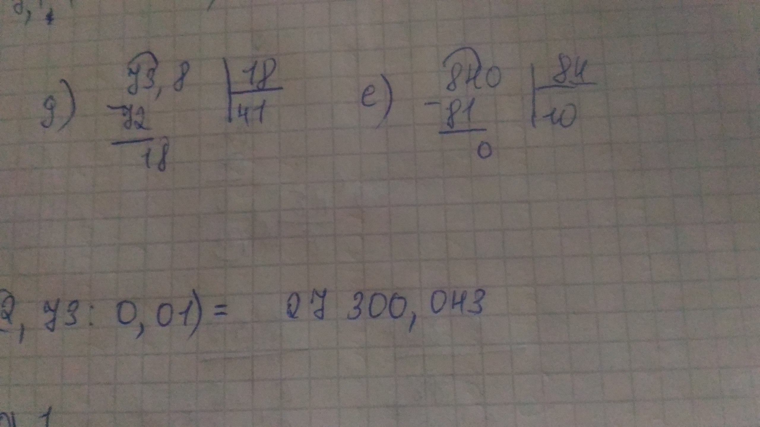
5) 1)8,5-1,5=7 ( км/ч) против течения
3)7+10=17 (км) скорость сближения
4) 35,7:17=2,1(ч)
Приложения:
Похожие вопросы
Предмет: Алгебра,
автор: vikaperehodko7
Предмет: Русский язык,
автор: Аноним
Предмет: Химия,
автор: edvky
Предмет: Математика,
автор: kitaaaa1
Предмет: История,
автор: Annaporyadna4