Предмет: Математика,
автор: Heznacomez
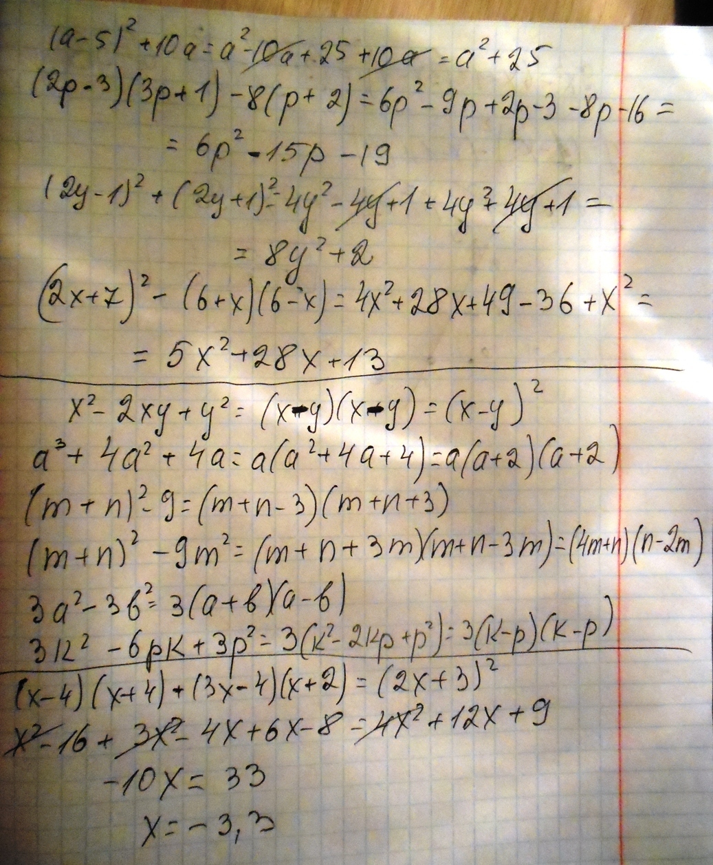
помогите ,срочно,умоляю
Приложения:
Ответы
Автор ответа:
0
!!!!!!!!!!!!!!!!!!!!!!!!!!!!!!!!!!!!!!!!
Приложения:
Автор ответа:
0
прости
Автор ответа:
0
Так читать -то, наверно, умеешь! И здесь не жмякают куда попало, просто сейчас модераторы увидят нарушение и удалят ответ, т.к. много вопросов. Так что скопируй лучше!
Похожие вопросы
Предмет: Геометрия,
автор: Аноним
Предмет: Алгебра,
автор: erlandaleev
Предмет: Химия,
автор: anastasiabujvolenko
Предмет: Обществознание,
автор: маришка906
Предмет: Математика,
автор: 123284