Предмет: Математика,
автор: nlevin
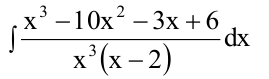
Помогите с математикой!(Интегралы)
Приложения:
Ответы
Автор ответа:
0
Для нахождения этого интеграла воспользуемся методом Остроградского.
Искомый интеграл представим в виде:
∫
∫
Совершенно понятно, что в этом интеграле
, а 
Найдём оставшиеся компоненты этой формулы.
Согласно методу Остроградского
- наибольший общий делитель Q(x) и его ПРОИЗВОДНОЙ Q'(x).

Сравниваем оба разложения и видим, что максимум, на что оба многочлена делятся - это
. Следовательно, это и есть наибольший общий делитель, то есть,
.
Следующий этап.

Очень важное правило: степени
должны быть хотя бы на единицу меньше степени соответствующих знаменателей(поскольку работаем мы с правильными дробями).
Степени
и
, очевидно равны 2. Значит, степени числителей должны быть максимум линейными функциями. Линейная функция задаётся в общем виде как Ax + B. И запишем теперь общий вид формулы Остроградского(при этом во второй дроби коэффициенты линейной функции ДРУГИЕ).
Итак.
∫
∫ 
Теперь продифференцируем обе части равенства. При этом стоит заметить, что производная интеграла равна подынтегральному выражению, а производную дроби ищем по правилу дифференцирования частного.

Здесь мы сначала продифференцировали обе части равенства, затем домножили обе части на общий знаменатель дробей
, затем привели подобные и сгруппировали слагаемые при одной степени. Многочлен равен 0. Значит, достаточно приравнять 0 все коэффициенты при степенях и решить полученную систему.
, откуда
.
Основная часть закончена: рациональная часть интеграла выделена.
теперь запишем формулу Остроградского ещё раз и видим, что всё дело свелось к нахождению совсем несложного интеграла.
∫
∫
Теперь вычислим оставшийся более простой интеграл.
∫
= ∫
∫
- 9∫
=
∫
∫

Константу С я добавлю после получения искомого интеграла.
Всё. Этот интеграл также найден. Осталось подставить его значение в полученное ранее выражение.
Ответ:
Искомый интеграл представим в виде:
∫
Совершенно понятно, что в этом интеграле
Найдём оставшиеся компоненты этой формулы.
Согласно методу Остроградского
Сравниваем оба разложения и видим, что максимум, на что оба многочлена делятся - это
Следующий этап.
Очень важное правило: степени
Степени
Итак.
∫
Теперь продифференцируем обе части равенства. При этом стоит заметить, что производная интеграла равна подынтегральному выражению, а производную дроби ищем по правилу дифференцирования частного.
Здесь мы сначала продифференцировали обе части равенства, затем домножили обе части на общий знаменатель дробей
Основная часть закончена: рациональная часть интеграла выделена.
теперь запишем формулу Остроградского ещё раз и видим, что всё дело свелось к нахождению совсем несложного интеграла.
∫
Теперь вычислим оставшийся более простой интеграл.
∫
Константу С я добавлю после получения искомого интеграла.
Всё. Этот интеграл также найден. Осталось подставить его значение в полученное ранее выражение.
Ответ:
Автор ответа:
0
очень муторно и ужасно долго писать все эти символы здесь, поэтому больше часа уже вожусь.
Похожие вопросы
Предмет: Қазақ тiлi,
автор: utegenova03061983
Предмет: Музыка,
автор: katerinkabeznoshchen
Предмет: Алгебра,
автор: tarasovadiana921
Предмет: Математика,
автор: Ната132003
Предмет: Математика,
автор: Аноним