Предмет: Математика,
автор: 3108001
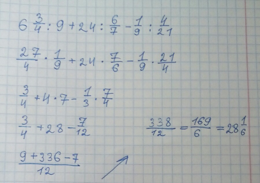
6целых 3/4 разделить на 9+24разделить на 6/7-1/9разделитьна 4/21
Ответы
Автор ответа:
0
вот,пожалуйста..........
Приложения:
Похожие вопросы
Предмет: Қазақ тiлi,
автор: saniya1517
Предмет: География,
автор: evelinadzeba2010
Предмет: Биология,
автор: sitnikovevgen2
Предмет: Алгебра,
автор: sanechka602
Предмет: Математика,
автор: Den84599