Предмет: Алгебра,
автор: софия623
ответьте что сможите!!!! пожалуйстаааа
Приложения:
Ответы
Автор ответа:
0
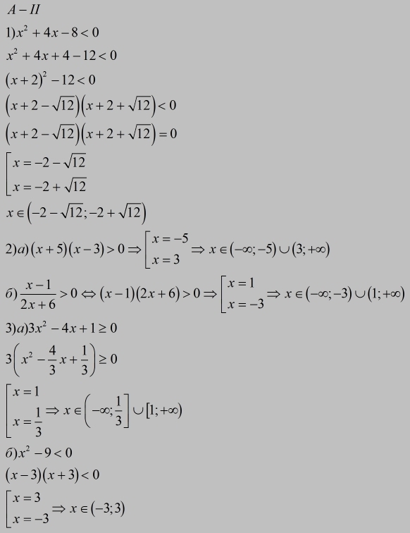
Увы, графики я не рисую, но тут http://yotx.ru/ введите вашу функцию и вам выдаст график.
Приложения:
Похожие вопросы
Предмет: Математика,
автор: dimagoda
Предмет: Химия,
автор: veronikaogar6
Предмет: Математика,
автор: garynyhalekseev
Предмет: Математика,
автор: школьник219
Предмет: Математика,
автор: Хорошист5551