Предмет: Математика,
автор: ChuvakZZZ
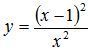
Найти асимптоты графика функции
Приложения:
Ответы
Автор ответа:
0
y=kx+b - уравнение асимптоты.
1. k=limₓ₋₀₀(f(x)/x)=limₓ₋₀₀((x-1)²/x³)=0, читайте ₀₀ как ∞.
b=limₓ₋₀₀(f(x)-kx)=limₓ₋₀₀(1-2/x+1/x²)=1
y=kx+b ⇒ y=1 - горизонтальная асимптота.
2. в критических точках найдём предел справа и слева:
limₓ₋₀₊₀((x-1)²/x²)=+∞
limₓ₋₀₋₀((x-1)²/x²)=+∞
x=0 - вертикальная асимптота.
1. k=limₓ₋₀₀(f(x)/x)=limₓ₋₀₀((x-1)²/x³)=0, читайте ₀₀ как ∞.
b=limₓ₋₀₀(f(x)-kx)=limₓ₋₀₀(1-2/x+1/x²)=1
y=kx+b ⇒ y=1 - горизонтальная асимптота.
2. в критических точках найдём предел справа и слева:
limₓ₋₀₊₀((x-1)²/x²)=+∞
limₓ₋₀₋₀((x-1)²/x²)=+∞
x=0 - вертикальная асимптота.
Похожие вопросы
Предмет: Математика,
автор: gdididjsj
Предмет: Қазақ тiлi,
автор: amirxamir09
Предмет: Алгебра,
автор: vovamelnik1903
Предмет: Обществознание,
автор: Катя24082000
Предмет: Биология,
автор: malayachikisheva