Предмет: Математика,
автор: irina20112014
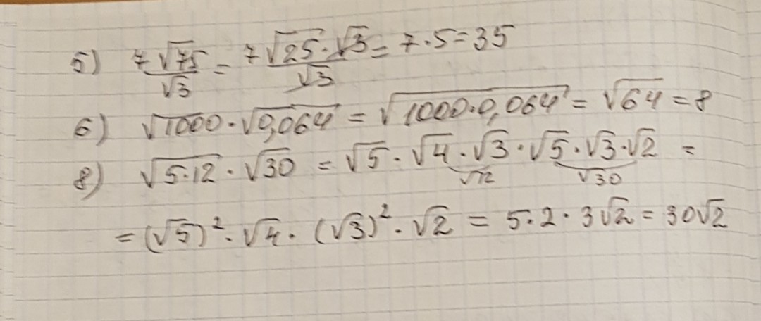
Решите выделенные номера, пожалуйста (5,6,8).С решением
Приложения:
Ответы
Автор ответа:
0
решение задания смотри на фотографии
Приложения:
Автор ответа:
0
пожалуйста ,и спасибо за оценку
Похожие вопросы
Предмет: Математика,
автор: koloskovakata5
Предмет: Математика,
автор: inzhufazylbek689
Предмет: Физика,
автор: 29052008m
Предмет: Математика,
автор: matvei124422457
Предмет: Литература,
автор: Елена20251