Предмет: Математика,
автор: Ilya7128
1. Решите уравнение:
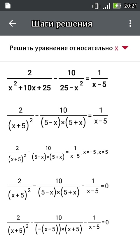
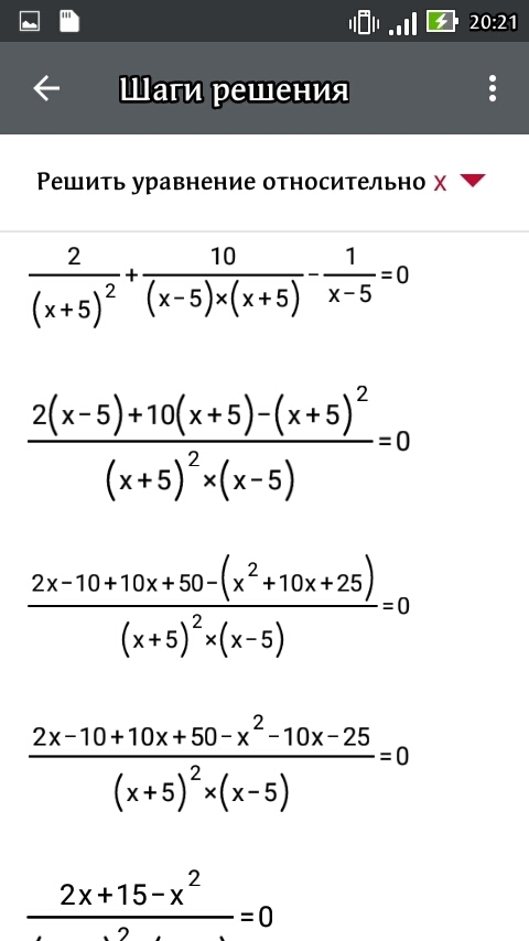
2/(х^2+10х+25) - 10/(25- х^2 ) = 1/(х-5)
Ответы
Автор ответа:
0
Слишком коротко. Напишите минимум 20 символов, чтобы объяснить все.
Приложения:
Автор ответа:
0
а можно с решением?
Похожие вопросы
Предмет: Математика,
автор: bog20102010
Предмет: Русский язык,
автор: akskakalapskakak
Предмет: Алгебра,
автор: manko2390
Предмет: Литература,
автор: ilovenikitakiosse177