Предмет: Алгебра,
автор: Ksenichka508
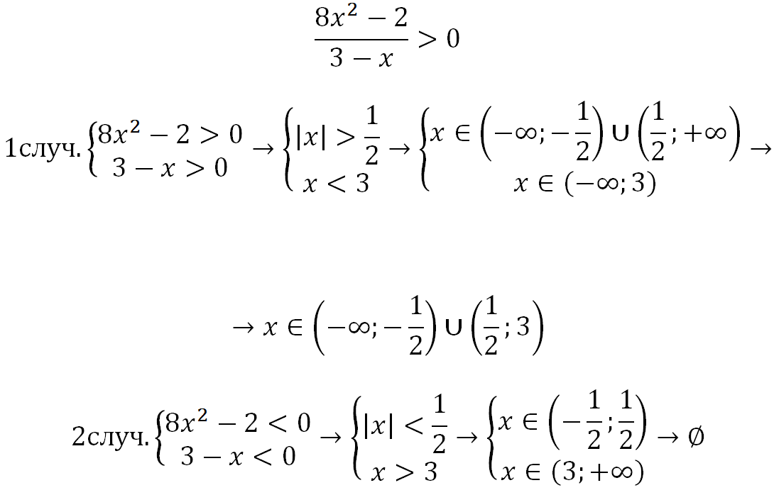
Помогите пожалуйста! Решите неравенство 8x^2-2//3-x>0
Ответы
Автор ответа:
0
!!!!!!!!!!!!!!!!!!!!!!!!!!!!!!!!!!!!!!!!!!!!!!!!!!!!!!!!!!!!!!!!!!!!!!!!!!!!!!!!!!!!!!!!!!!!!!!!!!!!!!!!!!!
Приложения:
Похожие вопросы
Предмет: Математика,
автор: Аноним
Предмет: Информатика,
автор: Аноним
Предмет: Химия,
автор: karinakornijcuk47
Предмет: Химия,
автор: Аноним
Предмет: Химия,
автор: Pysu