Предмет: Алгебра,
автор: Аноним
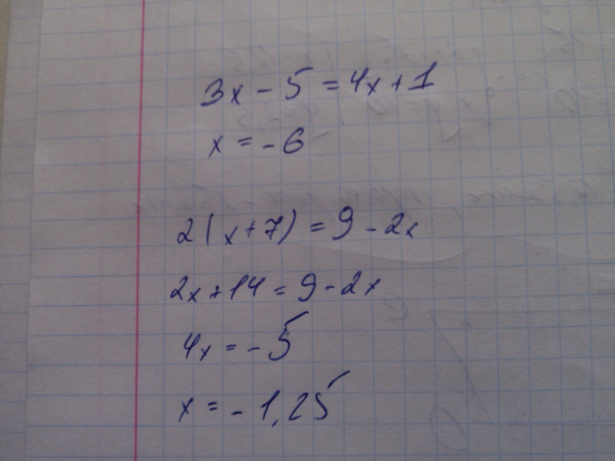
решите уравнения 3х-5=4х+1
решите уравнение 2(х+7)=9-2х
Ответы
Автор ответа:
0
1)
2)
Автор ответа:
0
Решение во вложении...
Приложения:
Похожие вопросы
Предмет: Химия,
автор: karinakornijcuk47
Предмет: Русский язык,
автор: AminaAbueva2
Предмет: Английский язык,
автор: ADSTAR
Предмет: Математика,
автор: Анастасия25022003