Предмет: Алгебра,
автор: Sonova
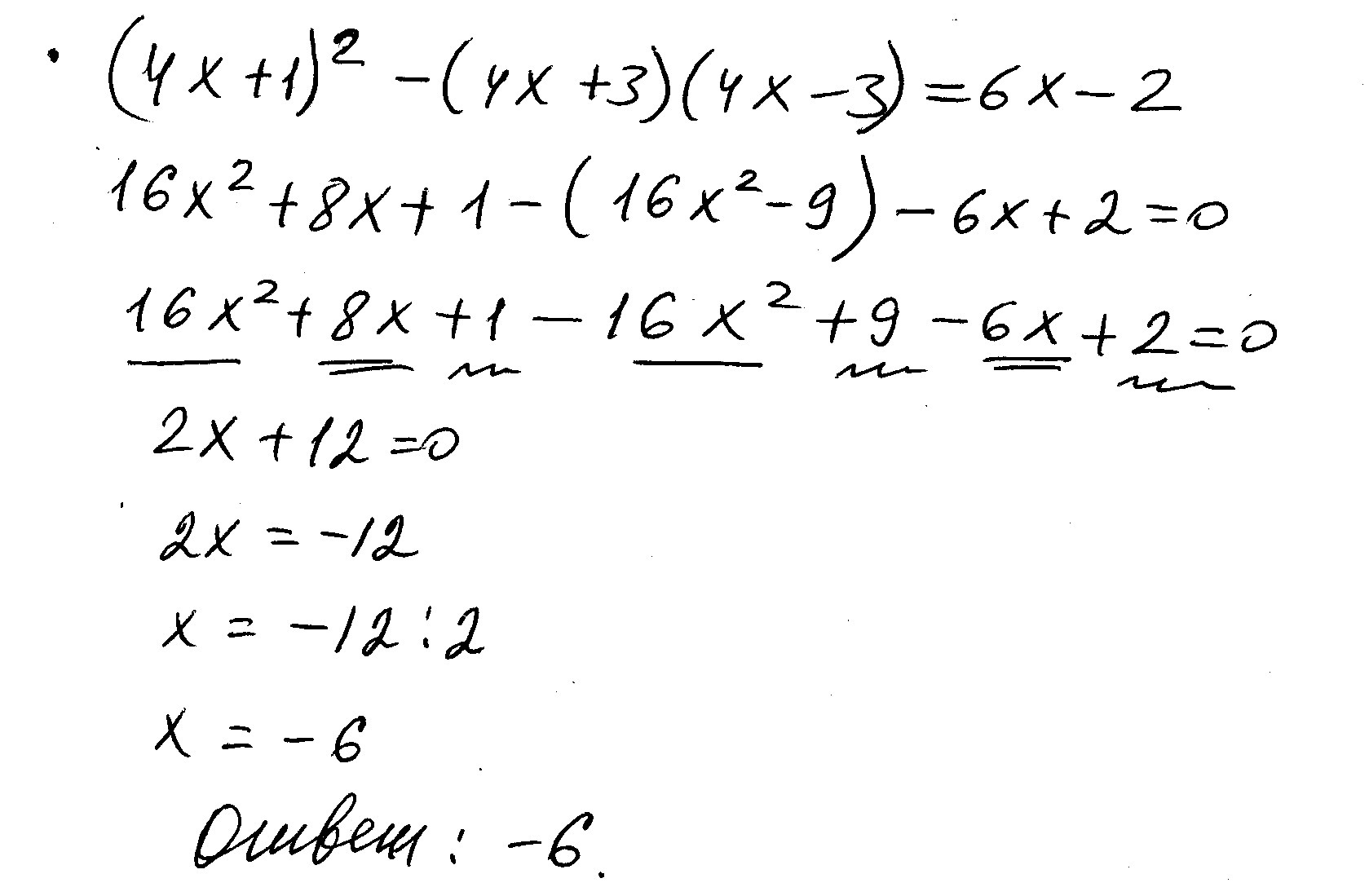
1) (4х+1)^2-(4х+3)(4х-3)=6х-2
2) Докажите, чтт выражение 4х^2-4ху+2у^2
Ответы
Автор ответа:
0
решение во вложенном файле
Приложения:
Похожие вопросы
Предмет: История,
автор: mariri5634
Предмет: Математика,
автор: Аноним
Предмет: Математика,
автор: marchenkovaliza35578
Предмет: Литература,
автор: Аноним
Предмет: Биология,
автор: popovichenko201