Предмет: Алгебра,
автор: timaeus
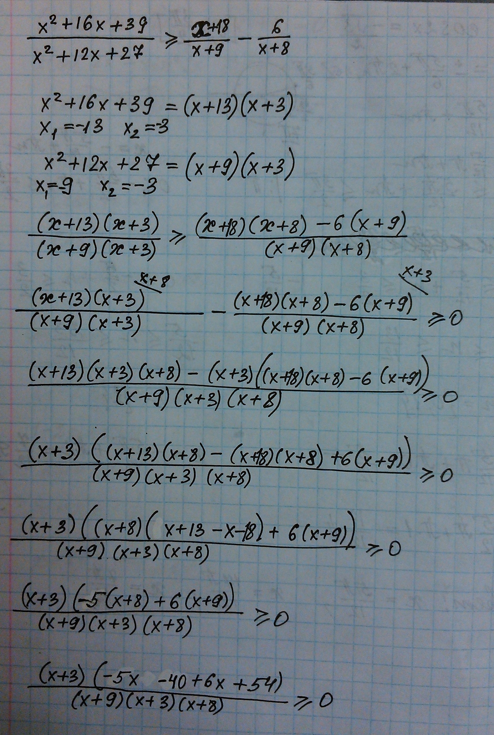
ПОМОГИТЕ РЕШИТЬ НЕРАВЕНСТВО! x^2+16x+39/x^2+12x+27 >= x+18/x+9 - 6/x+8
пожалуйста, не через систему
Приложения:
Ответы
Автор ответа:
0
Решение в прикрепленном файле.
Приложения:
Похожие вопросы
Предмет: Математика,
автор: arturkalenov85
Предмет: Алгебра,
автор: rossiasvyashennaya
Предмет: Английский язык,
автор: Brawltofe
Предмет: Математика,
автор: Anbira
Предмет: Биология,
автор: Дынька100