Предмет: Алгебра,
автор: Aikosechka
1-cos2x=2sinx
Log1/3(1-2x)>-1
Ответы
Автор ответа:
0
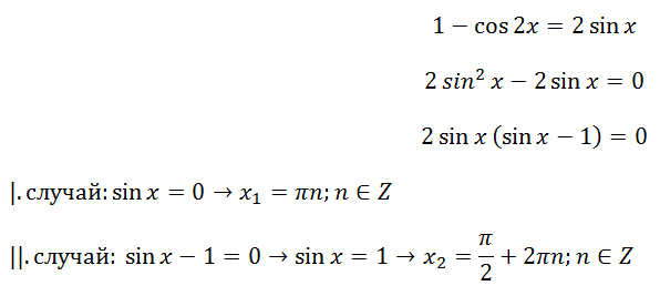
1-cos2x=2sinx
1-cos^2 x+sin^2 x=2sinx
2sin^2 x=2sinx
sin^2 x=sinx
sin^2 x-sinx=0
sinx(sinx-1)=0
sinx=0
x=pi*k; k пр. Z
sinx-1=0
sinx=1
x=pi/2+2pi*k; k пр. Z.
log1/3(1-2x)>-1 1-2x>0; 2x<1; x<1/2 (ОДЗ)
log1/3(1-2x)>log 1/3 3
1-2x<3
2x>-2
x>-1
Ответ: x пр. промежутку (-1;0.5)
Автор ответа:
0
!!!!!!!!!!!!!!!!!!!!!!!!!!!!!!!!!!!!!!!!!!!!!!!!!!!!!!!!!!!!!!!!!!!!!!!!!!!!!!!!!!!!
Приложения:
Похожие вопросы
Предмет: Алгебра,
автор: iwanttoitaly
Предмет: География,
автор: razakhmiras
Предмет: Русский язык,
автор: toigulovaasem
Предмет: Геометрия,
автор: safka
Предмет: Математика,
автор: Гайтера